Magna Concursos
3853091 Ano: 2025
Disciplina: Matemática
Banca: EDUCA
Orgão: Pref. Santa Cecília-PB
Provas:

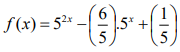
Observe a função exponencial abaixo, cujas raízes são α e β (com α < β):

Enunciado 3853091-1

O valor de βα é:

 

Provas

Questão presente nas seguintes provas

Professor B - Matemática

50 Questões