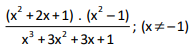
Para verificar o conhecimento de seus alunos sobre produtos notáveis, determinado professor pediu que seus alunos encontrassem
a forma mais simplificada da fração algébrica a seguir:

Qual das alternativas representa a forma mais simplificada da fração algébrica?

Qual das alternativas representa a forma mais simplificada da fração algébrica?