Magna Concursos
71241 Ano: 2007
Disciplina: Química
Banca: IME
Orgão: IME

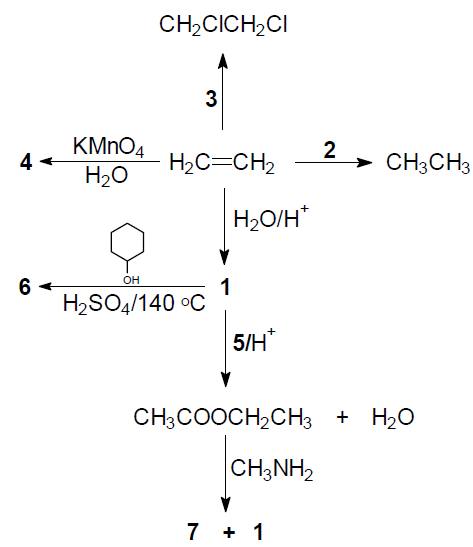
Indique a alternativa que relaciona os compostos numerados de 1 a 7 no esquema abaixo.

Enunciado 3225077-1

1 2 3 4 5 6 7

 

Provas

Questão presente nas seguintes provas

Curso de Formação e Graduação (CA)

50 Questões