Magna Concursos
2299049 Ano: 2018
Disciplina: TI - Desenvolvimento de Sistemas
Banca: UFSCAR
Orgão: UFSCAR
Provas:

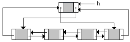
Assinale a alternativa que descreva corretamente o seguinte diagrama:

Enunciado 3538833-1

 

Provas

Questão presente nas seguintes provas

Técnico de TI

60 Questões