Magna Concursos
405489 Ano: 2017
Disciplina: Engenharia Eletrônica
Banca: IFB
Orgão: IFB

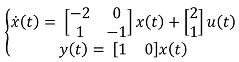
Considere o seguinte x sistema dinâmico representado no Espaço de Estados

Enunciado 405489-1

Pode-se dizer que este sistema é:

 

Provas

Questão presente nas seguintes provas

Professor PEBTT - Engenharia Elétrica

50 Questões