Dada a árvore de busca binária da imagem a seguir, insira os elementos 23, 12, 64, 93, 71 e 86 (nessa ordem).

Após a inserção, qual é a saída do percurso pós-ordem?
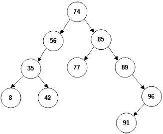
Dada a árvore de busca binária da imagem a seguir, insira os elementos 23, 12, 64, 93, 71 e 86 (nessa ordem).

Após a inserção, qual é a saída do percurso pós-ordem?