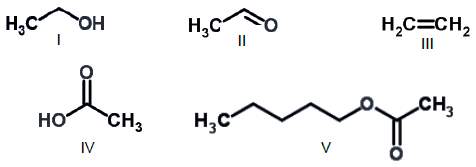
Com base nas estruturas químicas fornecidas a seguir (I a V), analise as proposições abaixo.

1) As estruturas I e II apresentam mesma forma molecular !$ (C_2H_6O) !$e pertencem à mesma classe de substâncias orgânicas.
2) O composto orgânico III corresponde a um hidrocarboneto insaturado, e apresenta menos átomos de hidrogênio por carbono que o seu alcano correspondente.
3) O grupo funcional encontrado na molécula IV é chamado de carboxila, e corresponde à combinação de uma carbonila e uma hidroxila.
4) Na molécula V, o grupamento carbonila está presente, e caracteriza esse grupo de compostos orgânicos, denominados éteres.
Está(ão) correta(s), apenas: