Magna Concursos
3595126 Ano: 2025
Disciplina: Matemática
Banca: SELECON
Orgão: Pref. Sinop-MT

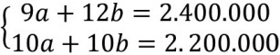
Uma concessionária de automóveis, em 2024, vendeu 9 carros do modelo A e 12 carros do modelo B, arrecadando um total de dois milhões e quatrocentos mil reais. Com isso, superou suas vendas em 2023, ano em que vendeu 10 carros do modelo A e 10 carros do modelo B, cujo total arrecadado foi de dois milhões e duzentos mil reais. Sabendo que os valores desses dois modelos de automóveis não sofreram alterações nesses dois anos e assumindo que as incógnitas “a” e “b” representam o preço, em reais, dos modelos de carro A e B respectivamente, o Sistema de equações que nos fornece os valores corretos das incógnitas “a” e “b” é:

 

Provas

Questão presente nas seguintes provas

Cargos de Nível Fundamental

40 Questões