Magna Concursos
1643039 Ano: 2007
Disciplina: Matemática
Banca: VUNESP
Orgão: SPTrans
Provas:
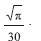
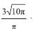
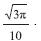
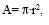
Para calcular a área de círculo, pode-se usar a fórmula: , enunciado 1643039-1 sendo r o raio do desse círculo.

Dessa maneira, o raio, em centímetros, de um círculo cuja área é igual a 30 cm2, será de

 

Provas

Questão presente nas seguintes provas

Agente de Informação

50 Questões