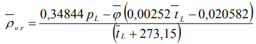
O modelo matemático a seguir é usado para estimar a massa especifica do ar atmosférico.

Onde:
!$ \overline{\rho}_{ar}\ \ !$ : Média da massa específica do ar em kg.m-3
!$ p_L !$ : Média da pressão atmosférica em hPa
!$ \overline{\varphi\ } !$ : Média da umidade relativa em %
!$ \overline{t}_L !$ : Média da temperatura ambiente em °C
São variáveis independentes.
O modelo matemático citado possui: