Magna Concursos
2178674 Ano: 2021
Disciplina: Biologia
Banca: AOCP
Orgão: ITEP-RN

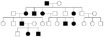
Considere o seguinte heredograma onde Enunciado 3387053-1 é um indivíduo normal e Enunciado 3387053-2 é um indivíduo afetado.

Enunciado 3387053-3

A doença representada é uma herança

 

Provas

Questão presente nas seguintes provas