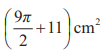
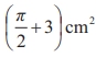
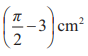
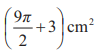
Observe a figura a seguir:

Sabendo que cada quadrado da malha mede 1 cm de lado e que a figura é formada por uma união de quartos de circunferência ( 1/4 de uma circunferência), ou seja, por arcos de π/2 rad, o interior desta figura tem uma área, em cm², de: