Magna Concursos
1706832 Ano: 2001
Disciplina: Matemática
Banca: FGV
Orgão: SPTrans
Provas:

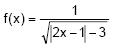
O domínio da função real de variável real, definida por Enunciado 1706832-1 é

 

Provas

Questão presente nas seguintes provas

Especialista em Transporte

60 Questões