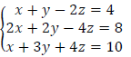
Para o sistema de equações lineares
É correto afirmar que:
x = 2, y = 2 e z = 0, é a solução do sistema.
O sistema não tem solução.
O sistema tem infinitas soluções.
O sistema tem solução e ela é única.
X = 1, y = 1 e z = -1, é solução do sistema
Olá, para continuar, precisamos criar uma conta! É rápido e grátis.