Enunciado rede PERT
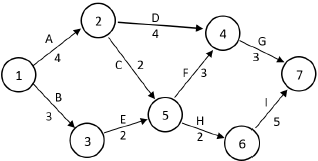
O diagrama de setas (rede PERT/CPM) apresentado a seguir representa o planejamento do tempo de um projeto, com o nó 1 caracterizando o evento de início e as setas representando as atividades denominadas com letras maiúsculas e com duração apresentada em dias corridos.

Baseado no enunciado rede PERT, a folga livre e a folga total da atividade D são, respectivamente, de:O diagrama de setas (rede PERT/CPM) apresentado a seguir representa o planejamento do tempo de um projeto, com o nó 1 caracterizando o evento de início e as setas representando as atividades denominadas com letras maiúsculas e com duração apresentada em dias corridos.
