- Química OrgânicaFunções Nitrogenadas: Amina, Amida, Nitrila, Isonitrila e Nitro Composto
- Química OrgânicaFunções Oxigenadas: Álcool, Fenol e Enol
- Química OrgânicaFunções Oxigenadas: Cetona, Aldeído, Éter, Éster, Ácido Carboxílico etc.
- Química OrgânicaHidrocarbonetos
Observação: Caso necessário, utilize a Tabela Periódica.
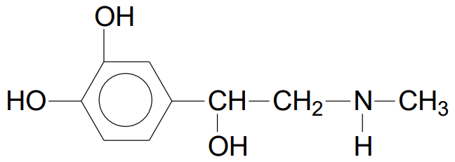
A adrenalina é uma substância secretada em nosso organismo em momentos de tensão, medo e pânico, e tem a capacidade de aumentar a pressão sanguínea, a contração cardíaca e a pulsação. A figura a seguir mostra uma representação da estrutura molecular da adrenalina.

Com base nessa figura, verifica-se que as funções orgânicas presentes na molécula de adrenalina são:
Provas
Questão presente nas seguintes provas