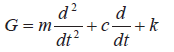
Obtenha a função de transferência de um oscilador linear com um grau de liberdade, mostrado na figura, que é composto de uma massa m, uma mola de rigidez k e um amortecedor viscoso de coeficiente, c.

Obtenha a função de transferência de um oscilador linear com um grau de liberdade, mostrado na figura, que é composto de uma massa m, uma mola de rigidez k e um amortecedor viscoso de coeficiente, c.
