Magna Concursos
2005082 Ano: 2020
Disciplina: Matemática
Banca: FAUEL
Orgão: Pref. Assis Chateaubriand-PR
Provas:

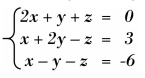
Assinale a alternativa que contém a soma das raízes do sistema de equações a seguir:

enunciado 265825-1

enunciado 265825-2

 

Provas

Questão presente nas seguintes provas

Advogado

30 Questões

Contador

30 Questões