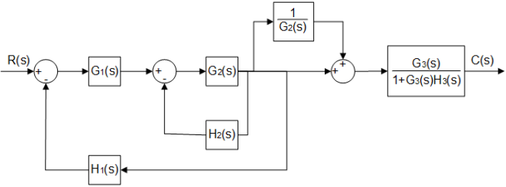
Um diagrama de blocos é uma representação gráfica utilizada normalmente quando o sistema é composto por mais de um componente. Essa representação permite descrever o inter relacionamento que existe entre vários elementos e as funções desempenhadas por cada um. A função de transferência do sistema está nas informações dos blocos e pode ser abstraída. Qual das alternativas a seguir corresponde à CORRETA representação da função de transferência do diagrama de blocos abaixo?
