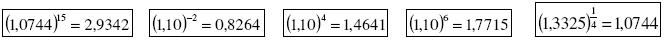
Para responder às questões de 31 a 35, considere as igualdades

Das pessoas que, numa fila, aguardavam atendimento médico, 42 estavam em pé. Cada banco disponível no local comportava, com folga, 2 pessoas. Cansadas de esperar, passaram a sentar-se 3 em cada banco, restando ainda duas pessoas em pé.
O número de componentes da fila é