Magna Concursos
1017575 Ano: 2017
Disciplina: Matemática
Banca: UFPR
Orgão: Itaipu
Provas:

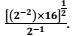
Assinale a alternativa que apresenta o valor da expressão enunciado 1017575-1

 

Provas

Questão presente nas seguintes provas

Técnico de Eletrônica

60 Questões