É sempre vantajoso para os seres vivos produzirem os compostos vitais dos quais necessitam? Uma série de experimentos demonstrou que não, se esses compostos puderem ser facilmente obtidos no ambiente.
Nesses experimentos, foram comparadas duas linhagens da bactéria Bacillus subtillis, que diferiam quanto à capacidade de fabricar o aminoácido triptofano. A linhagem selvagem era capaz de fazê-lo, e a linhagem mutante, não. Se populações das duas linhagens, com o mesmo número inicial de indivíduos, fossem colocadas em meio de cultura que não contivesse triptofano, apenas a linhagem selvagem sobreviveria.
Entretanto, se fossem colocadas em meio rico em triptofano, a população da linhagem mutante sobreviveria enquanto a população da linhagem selvagem diminuiria. Esses resultados levaram os pesquisadores a concluir que a capacidade de sintetizar triptofano se tornara desvantajosa na competição entre as duas linhagens, quando o meio era rico em triptofano.
Linus Pauling. Como viver mais e melhor. São Paulo: Best Seller, 1988 (com adaptações).
Acerca dos temas tratados no texto, julgue os itens que se seguem.
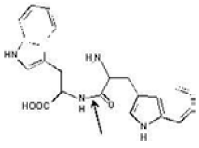
A figura a seguir ilustra a estrutura molecular do triptofano.

A tabela seguinte apresenta a composição e as características de uma solução aquosa de triptofano utilizada para a cultura de bactérias no experimento descrito do texto anterior.
|
composição para 100,0 mL de solução |
|||
|
triptofano |
0,5 g | ||
|
NaC\( \boldsymbol{\ell} \) |
0,5 g | ||
|
KH2PO4 |
0,25 g | ||
|
pH = 7,4 a 25 ºC |
|||
Com base nessas informações, julgue os itens.
A ligação covalente que une duas moléculas de triptofano, indicada pela seta na figura a seguir, é uma ligação peptídica.
