Os compostos orgânicos diferenciam-se dos demais através de certas propriedades, como: solubilidade, temperatura de fusão e ebulição, além de combustibilidade.

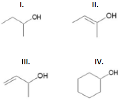
Podemos afirmar CORRETAMENTE a respeito das estruturas acima que:
Os compostos orgânicos diferenciam-se dos demais através de certas propriedades, como: solubilidade, temperatura de fusão e ebulição, além de combustibilidade.

Podemos afirmar CORRETAMENTE a respeito das estruturas acima que: