Julgue o próximo item, relativo a estrutura de informação.
Uma árvore é uma estrutura hierárquica composta por x nós, sendo x >= 0. O grau da árvore mostrada abaixo é igual a 3 e a altura é igual 4, com relação à raiz A.

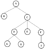
Julgue o próximo item, relativo a estrutura de informação.
Uma árvore é uma estrutura hierárquica composta por x nós, sendo x >= 0. O grau da árvore mostrada abaixo é igual a 3 e a altura é igual 4, com relação à raiz A.
