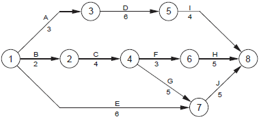
Considere o planejamento de uma construção dado pelo cronograma da figura, onde as letras representam as atividades, cujo tempo, em dias, está indicado abaixo das letras.

A obra está prevista para ter seu início no dia 10 de setembro do presente ano. A data mais tarde que a atividade A poderá ser iniciada é no dia
Provas
Questão presente nas seguintes provas
Auditor Público Externo - Engenharia Civil
170 Questões