Magna Concursos
1971117 Ano: 2020
Disciplina: Matemática
Banca: FUNDATEC
Orgão: Pref. Panambi-RS

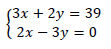
Determine os valores de x e y para que satisfaçam o sistema abaixo.

enunciado 988545-1

 

Provas

Questão presente nas seguintes provas

Fiscal Ambiental

40 Questões

Fiscal de Posturas

40 Questões

Fiscal de Trânsito

40 Questões

Fiscal de Tributos

40 Questões

Fiscal Sanitário

40 Questões

Técnico de Segurança do Trabalho

40 Questões