Magna Concursos
1363688 Ano: 2009
Disciplina: Química
Banca: UFRRJ
Orgão: UFRRJ

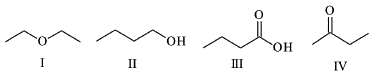
Considere as seguintes substâncias químicas:

Enunciado 1363688-1

A ordem crescente de ponto de ebulição das substâncias acima é dada por

 

Provas

Questão presente nas seguintes provas

Técnico de Laboratório - Química

50 Questões