Magna Concursos
2009259 Ano: 2020
Disciplina: Matemática
Banca: NUCEPE
Orgão: Pref. Timon-MA

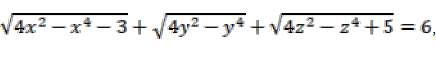
A matemática é uma ciência exata que trabalha muito com a imaginação, a criatividade e com as técnicas de demonstrações. Por exemplo, para a ∈ R é possível mostrar usando simples técnicas de demonstrações que 4a2 - a4 ≤ 4.

Se x, y, z são números reais e enunciado 361482-1 então um possível valor para x + y + z é

 

Provas

Questão presente nas seguintes provas

Professor da Educação Básica - Matemática

50 Questões