Magna Concursos
Questões
Planos
Entrar
Entrar
Criar Conta
Respondida
296449
Ano:
2010
Disciplina:
TI - Desenvolvimento de Sistemas
Banca:
FEPESE
Orgão:
PGE-SC
Provas:
Analista Técnico em Gestão Pública - Analista de Sistemas
Provas
×
Engenharia de Software
Análise Estruturada
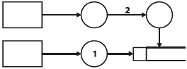
Analise o DFD (Diagrama de Fluxo de Dados) mostrado abaixo.
Assinale a alternativa que contém a identificação
correta
dos dois elementos sintáticos identificados pelos números “1” e “2” no DFD.
A
1
Lugar ;
2
Transição.
B
1
Estado ;
2
Transição.
C
1
Ação ;
2
Fluxo de controle.
D
1
Processo ;
2
Fluxo de dados.
E
1
Atividade ;
2
Fluxo de controle.
Resolver
Comentários
0
×
Cadernos
×
Flashcards
×
Estatísticas
×
Reportar um erro
×
Provas
Questão presente nas seguintes provas
Analista Técnico em Gestão Pública - Analista de Sistemas
100 Questões
Resolver Prova
Publicar
Responder
Qual o problema da questão?
Selecione uma opção
Questão Desatualizada
Questão Repetida
Gabarito Errado
Outros Motivos
Mensagem
Enviar
Acessar
Criar Conta
Acesse sua Conta
Google
Facebook
Esqueci minha senha
Acessar
Ainda não tem conta?
Crie uma
!
Crie uma Conta
Criar Conta
Olá, para continuar, precisamos criar uma conta!
É
rápido
e
grátis
.
Google
Facebook
Concordo com os
Termos de Uso
Criar
Já tem uma conta?
Acesse aqui