
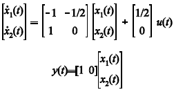
O modelo matemático de um sistema linear e invariante no tempo tem a representação em espaço de estados descrito pelas equações acima. Considerando essas informações e assumindo condições iniciais nulas, julgue o item que se segue.
O sistema é de fase não mínima.
O sistema é de fase não mínima.
Provas
Questão presente nas seguintes provas