
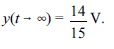
O diagrama de bloco mostrado na figura acima ilustra a entrada X(s) e a saída Y(s) de um sistema dinâmico, cuja função de transferência é H(s). Considere que, à entrada do sistema, seja aplicado um impulso unitário X(s) = 1, sendo então observada a resposta Y(s) resultante. Considere, ainda, que a transformada de Laplace Y(s) do sinal observado nos terminais de saída possua zeros z1 = –2 e z2 = –1, e polos p1 = 0, p2 = –2, p3 = –2 e p4 = –5, e que Y(s) represente uma tensão e Y(2) = 0,5 V. Com base nessas considerações, julgue os seguintes itens.
Em regime permanente, a amplitude do sinal de saída é dada por 
Provas
Questão presente nas seguintes provas