Magna Concursos
1777698 Ano: 2004
Disciplina: Farmácia
Banca: CESPE / CEBRASPE
Orgão: PF

Enunciado 1777698-1

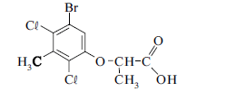
Considerando as estruturas acima, julgue os itens seguintes.

A reação de bromação aromática do DMPA fornece, como produto principal, o composto abaixo.

Enunciado 1777698-2

 

Provas

Questão presente nas seguintes provas

Perito Criminal Federal - Farmácia 2

120 Questões