Magna Concursos
164136 Ano: 2018
Disciplina: Matemática
Banca: CESGRANRIO
Orgão: Petrobrás

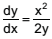
Considere a equação diferencial ordinária Enunciado 164136-1 , com y(0) = -2.

O valor de y(3) é

 

Provas

Questão presente nas seguintes provas

Engenheiro de Equipamentos - Elétrica

70 Questões