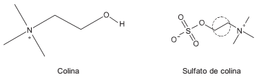
“O enxofre ligado ao oxigênio consiste principalmente de sulfato de ésteres, como o sulfato de colina, sulfatos fenólicos e polissacarídeos e lipídios sulfatados. Essa fração constitui em média cerca de 50% do enxofre orgânico e é obtida pela reação do H2S com ácido iodídrico (HI).”
Fórmulas da colina e seu respectivo sulfato:

A ligação assinalada (no local pontilhado) é