Sejam as afirmações:
I. A raíz quarta de um número inteiro não-negativo é um número inteiro não-negativo.
II. Toda dízima é um número irracional.
III. A notação científica do número 235000000 é igual a 23,5.107.
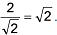
IV.
Pode-se dizer que são corretas:
I. A raíz quarta de um número inteiro não-negativo é um número inteiro não-negativo.
II. Toda dízima é um número irracional.
III. A notação científica do número 235000000 é igual a 23,5.107.
IV.
Pode-se dizer que são corretas:
Provas
Questão presente nas seguintes provas
Técnico Administrativo
65 Questões
Técnico de Operação
30 Questões