Magna Concursos
1999608 Ano: 2020
Disciplina: Matemática
Banca: IF-MT
Orgão: IF-MT
Provas:

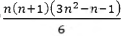
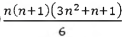
Considere n ∈ ℕ , n ≥ 1 . O valor de S pode ser dado por:

S = 1 .12 + 3.22 + 5.32 + 7.42 + ••• + (2. n - 1). n2

 

Provas

Questão presente nas seguintes provas

Professor - Matemática

40 Questões