Magna Concursos
1644947 Ano: 2012
Disciplina: Matemática
Banca: REIS & REIS
Orgão: Pref. Varginha-MG
Provas:

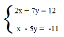
Resolva o sistema abaixo e marque a resposta correta.

enunciado 1644947-1

 

Provas

Questão presente nas seguintes provas

Professor

80 Questões