Magna Concursos
4048279 Ano: 2026
Disciplina: Matemática
Banca: SELECON
Orgão: UFRJ

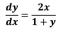
Considere a equação diferencial ordinária, para x > 0:

Enunciado 4519511-1

com condição inicial y(1) = 1 . Nesse caso, a solução y(x), para x > 0, é:

 

Provas

Questão presente nas seguintes provas

Engenheiro de Telecomunicações

50 Questões