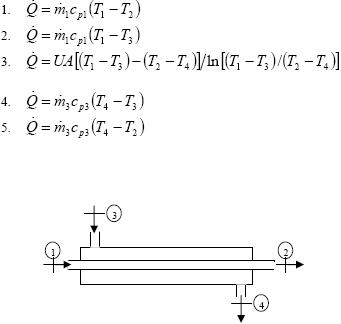
A figura abaixo representa um trocador de calor de tubos concêntricos de escoamento paralelo. Uma vazão mássica m1 de fluido quente (calor específico constante cp1) entra no tubo interno do trocador de calor com temperatura T1 e sai com temperatura T2. No tubo externo, uma vazão mássica m3 de fluido frio (calor específico constante cp3) entra no trocador de calor com temperatura T3 e sai com temperatura T4. A área de troca de calor é A e o coeficiente global de transferência de calor é U. Considere as várias equações propostas para o cálculo da taxa de transferência de calor Q:

Assinale a alternativa correta: