Magna Concursos
405262 Ano: 2017
Disciplina: Matemática
Banca: IFB
Orgão: IFB

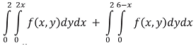
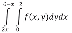
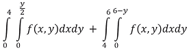
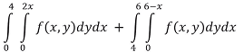
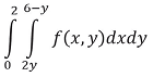
A região de integração dada pela integral dupla Enunciado 405262-1é a mesma de qual das integrais a seguir:

 

Provas

Questão presente nas seguintes provas

Professor PEBTT - Matemática

50 Questões