Magna Concursos
66646 Ano: 2006
Disciplina: Química
Banca: Marinha
Orgão: Marinha

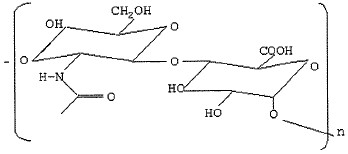
Observe a cadeia.

Enunciado 3349443-1

Na estrutura do ácido hialurônico, representado acima, estão presentes as funções orgânicas:

 

Provas

Questão presente nas seguintes provas

Corpo Auxiliar de Praças - Química

50 Questões