O número 105/47 pode também ser representado nas formas:

Se esse mesmo número for representado na forma

os números α e b serão tais que α + b é igual a
Provas
Questão presente nas seguintes provas
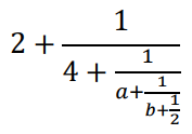
O número 105/47 pode também ser representado nas formas:

Se esse mesmo número for representado na forma

os números α e b serão tais que α + b é igual a