Magna Concursos
842949 Ano: 2014
Disciplina: Farmácia
Banca: Consulplan
Orgão: MAPA
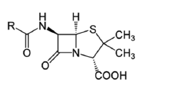
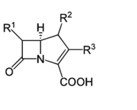
As penicilinas compartilham certas características químicas, mecanismos de ação, farmacologia e características imunológicas com as cefalosporinas, os monobactâmicos, os carbapenens e os inibidores das betalactamases. Todos são compostos betalactâmicos. Qual das estruturas a seguir corresponde à estrutura geral da penicilina?
 

Provas

Questão presente nas seguintes provas

Auditor-Fiscal Agropecuário - Farmácia

50 Questões