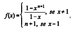
Em um sistema de coordenadas cartesianas ortogonais xOy, considerando a função f : R ÷ R definida por

julgue os itens subseqüentes.
Se x … 1, então
![]()
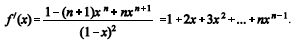
Em um sistema de coordenadas cartesianas ortogonais xOy, considerando a função f : R ÷ R definida por

julgue os itens subseqüentes.
Se x … 1, então
![]()