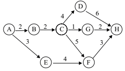
As interferências em uma obra podem ser verificadas no diagrama
da figura a seguir, no qual os eventos estão representados
por círculos e a duração das atividades entre eventos,
em semanas, é dada junto às setas. É correto afirmar que o
tempo mínimo de conclusão desse projeto é

