Magna Concursos
2654966 Ano: 2019
Disciplina: Matemática
Banca: Consulplan
Orgão: Pref. Pitangueiras-SP
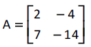
Das matrizes relacionadas, a única que possui matriz inversa é:
 

Provas

Questão presente nas seguintes provas

Enfermeiro - ESF

50 Questões

Fiscal Ambiental

50 Questões

Médico

50 Questões

Professor Classe Especial

50 Questões

Professor da Educação Básica - Inglês

50 Questões