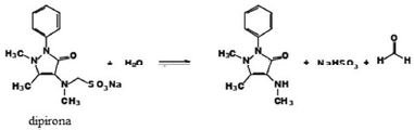
Os resíduos de medicamentos têm-se tornado os poluentes que mais afetam recursos hídricos. Entre eles se destacam os analgésicos. O ácido acetilsalicílico (HAS; M = 180,0 g/mol) é um analgésico cuja concentração em um comprimido pode ser determinada por titulação com NaOH, na presença de fenolftaleína. A proporção de NaOH para HAS na titulação é 1:1. A dipirona sódica, outro analgésico de grande interesse, dado o seu intenso uso pela população, sofre degradação de acordo com a reação representada a seguir.

Com base nessas informações, julgue o próximo item.
Considerando-se que 500 mg de comprimido de HAS tenham sido dissolvidos em água e que a titulação desse ácido com NaOH 0,100 mol/L tenha gasto 25,00 mL, é correto concluir que a porcentagem de HAS no comprimido é superior a 91%.