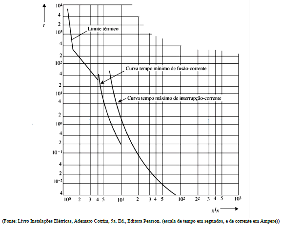
Fusíveis são elementos de proteção para as instalações elétricas. O gráfico abaixo mostra a zona de tempo-corrente de um fusível.

A partir da análise do gráfico apresentado, assinale a afirmativa correta.
Fusíveis são elementos de proteção para as instalações elétricas. O gráfico abaixo mostra a zona de tempo-corrente de um fusível.

A partir da análise do gráfico apresentado, assinale a afirmativa correta.