
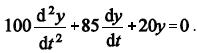
Considerando o sistema massa-mola livremente amortecido
mostrado na figura acima, e sabendo que a constante de
amortecimento c é igual a 85
a constante elástica k damola vale 20 kN/m e a massa m do objeto equivale a 100 kg, julgue
os itens subseqüentes.

Provas
Questão presente nas seguintes provas
Analista do Seguro Social - Engenharia Mecânica
150 Questões