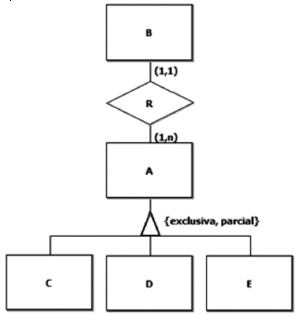
A figura a seguir exibe um modelo conceitual de dados que usa uma notação com base na abordagem E-R:

Sejam as seguintes afirmativas sobre o modelo acima:
I. Toda instância de E é uma instância de A.
II. Toda instância de A é uma instância de C.
III. Toda instância de D tem que estar associada a uma instância de B pela relação R.
IV. Toda instância de A tem que ser uma instância de C ou de D ou de E.
São verdadeiras, apenas: